MFP.bnk

附录 (二)  多 因 素 生 产 力 统 计 之 意 义

 


  实质产出成长之因素中,除了透过要素投入增加所导致之直接贡献外,尚有许多因素,如知识进步(包含技术与管理层面)、规模经济、市场结构变动、产业结构改变、外部经济、投入品质或组成改变等。这些因素可称之为生产力成长因素, Abramovitz (1956)称之为多因素生产力变动, Solow (1957)称之为技术进步,而 Domar (1961)则建议以余数或残值称之,即凡是实际产出变动无法藉由生产要素变动来解释之部分,全部纳入此一名词之内涵。

  以下就生产面进行多因素生产力之衡量,简述如次:

  假设有一生产函数:

 

  Q = f (L , K ;t)

(1)

  代表 i 产业之产出投入关系,而所谓技术进步率,可视为随时间变动,在生产要素投入数量固定不变时,由于投入品质改变,等产量曲线往上移动比率,亦即可定义为:

 

  

(2)

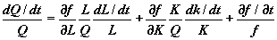
  由生产函数全微分得知:

  

  将上式遍除Q得:

 

  

(3)

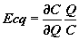
  假设生产者在维持成本最小之条件下生产,则由满足成本最小之一阶条件知:

 

  

(4)

  W, R 分别表示劳动、资本要素价格

  : 为产生之边际成本,

  将此条件代入 (3) 代知:

 

  

(5)

  由产出成本弹性知:

  将此关系式代入 (5) 式知:

 

  

(6)

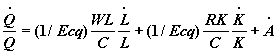
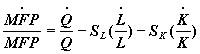
  然而由传统多因素生产力变动率之决定式:

 

  

(7)

  知

 

  

(8)

  SL,SK 分别表示劳动与资本投入份额

  式中

 

  

  为衡量生产规模变动对生产力之影响效果,显然多因素生产力变动率与生产函数之移动所表示之技术进步率并不相一致,除非 (1/Ecq) = 1 (亦即生产规模为固定规模报酬形式,否则多因素生产力之变动将同时受技术进步及生产规模变动之影响,且当生产规模报酬递增 ((1/Ecq) > 1),/MFP 将大于由生产面所衡量之技术进步率 ,反之,当生产规模报酬递减,则/MFP 将小于

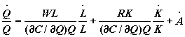
  由以上讨论可知,理论上规模经济与技术进步对于产出之成长皆有所贡献,因此忽略了规模经济的效果,将误估 MFP 成长率。但在实务上,为配合国民所得统计制度成本等于收入之概念,通常假设固定规模报酬,故:

 

  

  上式亦可修正为:

 

  

(9)

  解释成每人产出变动率为多因素生产力成长率与资本密集度成长率对每人产出成长率贡献之和;或可修正为:

 

  

(10)

  即多因素生产力指标为两要素投入生产力贡献之和。

  或为

 

  

(11)

  可知实质 GDP 之成长,除了劳动、资本投入量增加之贡献外,其余凡属投入品质增进、技术变迁、资源运用效率提升、研究发展等,均归入多因素生产力贡献之范畴。