MFP.bnk

附录 (三)  生 产 函 数 及 资 料 合 理 性 之 评 估

 


  生产力衡量颇受统计资料与估计公式之影响,而资料搜集处理可能发生错误,因此任何有关这方面的研究,似宜先进行资料可信度之评估。然而可信度又拿什么做为评判标准,基本上,若统计资料能适度解释某些经济现象。吾人认为此资料就有某种程度之可靠性。但用以评判的准则又如何选取呢?似很难有一致看法,由于本文重心在生产力衡量,因此吾人选用评估统计资料可信度的准则是:统计资料是否能配合出一条合乎经济理论的生产函数,若是,则统计资料尚称合理可信。

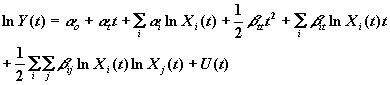
  本文选用限制条件较少之超越对数 (Translog) 生产函数,应用Seemingly Unrelated Regression Equations (SURE) 方法,估计下列联立方程式:

 

  生产函数:

i, j = L,K

  份额函数:

i, j = L,K

  其中:

i, j = L,K,  βij=βji, i≠j

 

 U(t)Vj(t)i=L,K,皆为干扰项,反映统计差,以及决策未达完全效率等。

  为衡量投入要素生产力与生产技术,生产投入与产出需适当的对应,兹分别选取实质国内生产毛额指数、就业总工时指数、实质资本存量指数、劳动报酬、要素成本份额等经济变数,假设固定规模报酬,应用 SURE 方法估计其生产函数,并检视其是否合乎单调性、准凹性、边际报酬递减原则、二阶条件大于零等。

  经检视其各项统计结果,工业部门中营造业、制造业所配适的生产函数模型尚称合理,且合乎正规条件,反映该二业厂商大都以达成成本极小目标生产;而矿业、水电燃气业其生产函数配适度虽尚佳,但并不合乎正规条件;再观察服务业部门,各业生产函数均能符合正规条件。观诸矿业、水电燃气业、运输业所推估之生产函数未合乎正规条件,可能隐含下列原因:第一、由于矿业已日渐没落,水电燃气业又多属独占性质较强之行业,可能较不合乎固定规模报酬之生产函数,本文虽尝试以其他较一般化之生产函数测试,但因估计之参数过多,且样本点不够,故是否有较佳之生产函数配适,仍有待进一步测试;第二、表示厂商资源配置效率差,因其显著地偏离成本极小目标。本文虽大致肯定现有资料的可靠性,惟仍必须提出说明的是,本文之检定乃假设长期均衡条件,因而若真实情况并非长期均衡,则即使不幸现有资料并未支持一个具有正规条件的生产函数,并不立即表示资料是错误的,因为真正经济情况可能仅处于短期均衡之状态。